电波是由相互垂直的电场(Electric Field)与磁场(Magnetic Field)组成。两者交互变化的强度取决于输至传输线(transmission line)或天线上的交流信号之大小而定。如图一所示。
图一:电波的组成
若依传导(propagation)方向与电场或磁场的关系,可以将电波分成三大类:横向电磁波(Transverse Electromagnetic Wave)或简称TEM波、横向电波(Transverse Electric Wave) 或简称TE波、横向磁波(Transverse Magnetic Wave) 或简称TM波。横向电磁波的定义是,电波的传导方向上没有电场和磁场的成份,电场和磁场的变化方向是在与传导方向垂直的平面上,所以又称为「平面电磁波(Plane Wave)」,图一就是一个典型的平面电磁波。
横向电磁波传输线的一般特性
TEM波模式是由下面方程式来描述,而后两者可用来描述等效的二维静电问题:
(TEM模式) (1)
上述方程式中的第二式暗示着 可表示二维静电电位之能量梯度。因此第三式变成拉普拉斯(Laplace)的电位方程式。如此则电场可由下面的方程式取得:
(等效静电问题) (2)
因在静电问题中,电场线必须始于正电荷导体并结束于负电荷导体,所以TEM模式只能在同轴缆线或双芯线(two-wire line)等多导体中被传导。中空的(hollow)波导(waveguide)并不支持TEM模式。
图二是一个双导体传输线的横向截面积。此截面的外形是任意的。

图二:双导体传输线
在静电的解决方案中,这些导体是等电位的(equipotential)。设
、
为两个导体上的电位常数,则导体间的电压差为
。电场线会垂直导体(a)出发并垂直于导体(b)结束。
被认定为等电位线的磁场线,根据方程式(1),垂直于电场线。磁场线本身彼此包围着,并围绕着两个导体。
特别是在导体表面上,磁场是正切的。根据安培定律,每个导体周围磁场的线积分,会在导体的沿z方向,产生流动的总电流
与
,这两个电流是大小相等、方向相反的。
阻抗、电感与电容
因为电波是沿z方向传导,频率为
、波数(wavenumber)为
,电压V与电流I的z、t函数为:
(3)
针对后向移动的电压及电流波,我们必须以
取代
。
的比率维持不变且独立于z。这便是线路的特征阻抗(characteristic impedance):
(线路阻抗) (4)
除了阻抗Z外,TEM线路的特征还有每单位长度的电感
及电容
。就不会产生损失的线路而言,这三个量Z、
、
的关系如下:
(每单位长度的电感及电容) (5)
此处的
是两导体间电介质的特征阻抗。利用
与
的相除与相乘,可以得到下列关系:
(6)
线路的速度系数是
的比率,这里的
是电介质的折射率,此电介质是假设不具磁性的。
因为
,所以导波波长为
,此处的
是自由空间(free space)之波长。对传输线的有限长度l而言,
代表线路的电气长度(electrical length),和薄膜(thin-film)层中的光学长度(optical length)扮演相同的角色。
方程式(5)与(6)的结果适用于任何的TEM线路。从图三中可导出这两个方程式。
在图三中,延着由A至B的任意路径对
做积分,可求得电压V。然而,若选择的路径为E场线,则
,且V为:
(7)
同理,延着围绕A的任何封闭路径,对
做积分可求得电流I。若选择的路径为H场线,例如导体的圆周
,我们将得到:
(8)
导体A的一个无穷小区域
上的表面电荷为
,这里的
是表面电荷密度。因为导体是假设为理想状态,则边界条件的要求为
等于D场的法线分量,亦即
。则
。

图三:电荷和磁通量
若沿整个导体A的圆周
做积分,将会得到每一单位z长度的总表面电荷:
![]()
但由方程式(1)得到的关系式
,及利用方程式(8)之结果,可以得到:
(9)
因为
与每单位长度之电容和电压有关
,所以可得到:
![]()
接下来,考虑两导体上的点A、B之间的E场线。因为向量
是与此区域垂直的,所以通过无穷小区域
的磁通量(magnetic flux)为
。
若由A积分到B,则连结两导体的每单位z长度之总磁通量为:
以 来取代,并利用方程式(7),可得出:
![]()
由![]()
![]()
因为磁通量与电感的关系是
。因此:
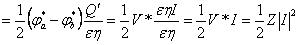
传输功率
Z、
、
之间的关系也可用能量的考虑来导出。延着线路传输的功率(transmitted power)
,是由将线路横截面S上的Poynting向量之z分量积分得到的。在TEM模式下,
,所以:
(10)
方程式(10)在一般表示时,都会重写成:
(11)
在本文最后会例出几个实例来验证上述的方程式。利用下面的Green等式也可证明:
![]()
因
且
,可得:
![]()
则二维的高斯(Gauss)定理暗示了:

这里的
是到导体的向外法线(
是由区域S向外的法线)。因导体是等电位表面,所以在导体A上
,而在导体B上为
。利用方程式(9),且在导体A与B上,
,则可得:
![]()
![]()
沿着此线路的电磁能量分布,是以每单位长度在平均时间内的电能与磁能密度来描述:
![]()
利用方程式(10),可将上式重写成:
![]()
因此
,且总能量密度为
,这暗示了能量速度将会是
。我们也可以利用线路的电容及电感来表示能量密度:
(12)














苏公网安备32050802011615号