功率损失、电阻与电导
假定在最佳传导状况下,计算场型(field pattern)与特征阻抗。因电介质及导体的电阻发热所造成之损失,可用传输线的另两个特征常数来量化,也就是每单位长度的电阻
与电导
。导体与电介质损失所导致的衰减系数:
和
,是用
、
及Z来表示:
(13)
它们可由下面的一般项式导出。
是在导体壁上的感应表面电流,这里的![]()
是到导体壁的向外法线。
利用BAC-CAB法则,可得出
。但是,
在导体A的表面上是平行于
的,而在B上则是不平行的。因此
。此结果产生了
,其在A上指示着+Z的方向,而在B上指示着
方向。利用这些式子,可得出导体的每单位z长度之功率损失为:
(14)
因为
而与总电流I相关(见方程式(8)),因此可用来定义每单位长度的电阻
:
(导体欧姆损失) (15)
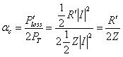
利用方程式(11),得出衰减系数为:
(16)
如果导体间的电介质是以导电率
或损失切线
做轻微的传导,则将会有一些电流在两导体之间流动。
每单位z长度的感应并联电流是与电导相关,
。电介质中的并联电流密度为
。由导体A流向导体B的总并联电流,是沿着导体A的圆周对
做积分求得:
![]()
利用方程式(9),可得出:
![]()
此结果产生的电介质损失常数将为:
![]()
或者,因并联电流产生的每单位长度之功率损失将为
,因此
可用下式来计算:

一般在实用上都以损失切线
与波数
,来表示电介质的损失和并联电导:
(17)
上面已经将RF传输线的原理和特性,详细地探讨完毕。底下我们将讨论三个应用实例:平行平板线、微带线、同轴缆线。在每个例子中,我们会讨论其先天的静电问题,及求得特征阻抗Z与衰减系数
和
。
平行平板线
在图四中,平行平板线是由两个宽度w的平行传导板所组成,这两个平板之间是以电介质材料
分开,间隔(高度)是h。像是在微波集成电路里,所使用的微带线就是属于这种线路。

图四:平行平板线
由于w与h的值是多变化的,因此在平板末端的边缘效应是不可以被忽略的。事实上,边缘需要电场来拥有纵向的分量,因此严格来说,它并不支持TEM模式。
然而在假设宽度远大于高度时
,可以忽略边缘效应,并假设电场是独立于x坐标的。
此静电问题是等效于一个平行平板电容器。因此,此电场将只有y分量,且在平板之间是不变的。同理,磁场将只有x分量。经由方程式(7)与(8):
![]()
因此,线路的特征阻抗将为:
![]()
在上式中,我们使用
。经由方程式(10)所推得的传输功率为:
经由方程式(5)所推得的每单位长度之电感与电容为:
![]()
在导体顶部的表面电流为
,在导体底部则为
。因此,每单位z长度的功率损失为:
![]()
与方程式(15)相比较,我们确认每单位长度的电阻为
。因此,由导体损失所产生的衰减常数为:
(18)














苏公网安备32050802011615号